Tuesday, May 25, 2021

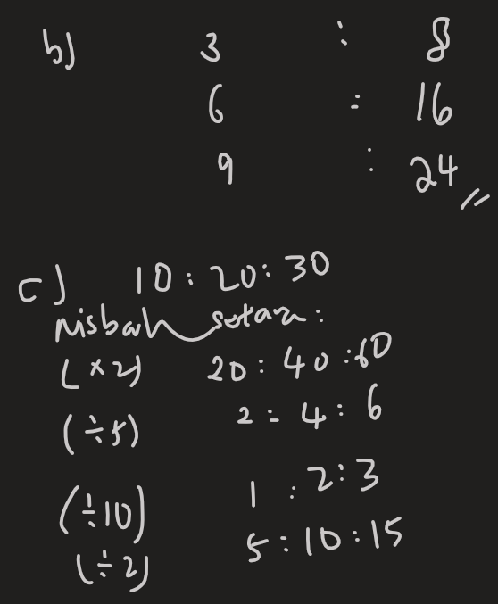
T1 BAB 4: Nisbah,Kadar dan Kadaram (4.1 Nisbah)

 Tingkatan 1

Bab 4: Nisbah, Kadar dan Kadaran

4.1 Nisbah

  






......THANK YOU......










No comments:

Post a Comment

Link Jalan Kerja Buku Teks Matematik Tingkatan 1

  TINGKATAN 1 BAB 1 : Nombor Nisbah 1.1 Integer 1.2 Operasi Asas Aritmetik yang Melibatkan Integer 1.3 Pecahan Positif dan Negatif 1.4 Perpu...