Monday, May 24, 2021

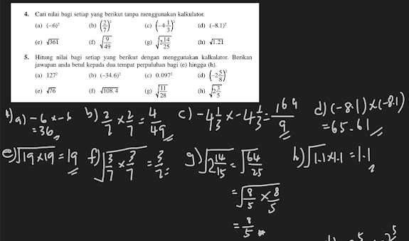
T1 BAB 3 : Kuasa Dua, Punca Kuasa Dua, Kuasa Tiga dan Punca Kuasa Tiga (3.1 Kuasa Dua dan Punca Kuasa Dua )

   Tingkatan 1

Bab 3: Kuasa Dua, Punca Kuasa Dua, Kuasa Tiga dan Punca Kuasa Tiga

3.1 Kuasa Dua dan Punca Kuasa Dua










......THANK YOU......







No comments:

Post a Comment

Link Jalan Kerja Buku Teks Matematik Tingkatan 1

  TINGKATAN 1 BAB 1 : Nombor Nisbah 1.1 Integer 1.2 Operasi Asas Aritmetik yang Melibatkan Integer 1.3 Pecahan Positif dan Negatif 1.4 Perpu...