Wednesday, June 2, 2021

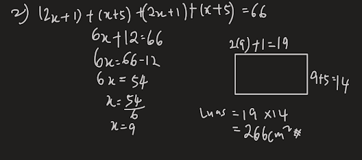
T1 BAB 6 : Persamaan Linear (6.1 Persamaan Linear dalam Satu Pemboleh Ubah )

 Tingkatan 1

Bab 6: Persamaan Linear

6.1 Persamaan Linear dalam Satu Pemboleh Ubah

   

......TERIMA KASIH......















No comments:

Post a Comment

Link Jalan Kerja Buku Teks Matematik Tingkatan 1

  TINGKATAN 1 BAB 1 : Nombor Nisbah 1.1 Integer 1.2 Operasi Asas Aritmetik yang Melibatkan Integer 1.3 Pecahan Positif dan Negatif 1.4 Perpu...